Logo Universidad Tecnologica De Salamanca
Universidad Tecnologica De Salamanca Youtube
Universidad Tecnologica De Salamanca Overview Crunchbase
Universidad Tecnologica De Salamanca Apollo
Ut Salamanca On Twitter Hola Mundo Nuevafotodeperfil Http T
Universidad Tecnologica De Salamanca Overview Crunchbase
Technological University Of Salamanca Technology Technology Png
Http Www Utsalamanca Edu Mx Sgc Images Rms Procedimientos Pdrms004 C Proced De Gestion De Amb De Trabajo 28 05 09 Copia Uts Pdf
Universidad Tecnologica De Salamanca Universidad Tecnologica
Universidad Tecnologica De Salamanca On Twitter La Uts
3rd Forum Of Entrepreneurs Renovare
Universidad Tecnologica De Salamanca
Universidad Tecnologica De Salamanca Universidad Tecnologica
Universidad Tecnologica De Salamanca
Universidad Tecnologica De Salamanca Linkedin
Gaceta Agosto Universidad Tecnologica De Salamanca
Gaceta Universitaria Mayo 2018 By Universidad Tecnologica De
La Universidad Tecnologica De Salamanca Avanza Hacia Un Futuro
De Nueva Cuenta Aparece La Universidad Tecnologica De Salamanca
Universidad Tecnologica De Salamanca By Jairo Van Buuren On Prezi
Universidad Tecnologica De Salamanca
Photos At Universidad Tecnologica De Salamanca
Gaceta Agosto Universidad Tecnologica De Salamanca
Universidad Tecnologica De Salamanca Issuu
Calidad Y Pertinencia En La Uts El Sol De Salamanca
Mensaje Del Rector Universidad Tecnologica De Salamanca Youtube
Piden Proteger A Alumnos De La Uts
Universidad De Ingenieria Y Tecnologia Wikipedia La
Dinero Contabilidad Mercadeo Negocio Universidad Tecnologica De
Pdf Temperature Sensing Setup Based On An Aluminum Coated Mach
Impulsan Municipio Y Uts Educacion Superior
Taller De Introduccion Al Control De Sonido Y Luces Con Tu
Universidad Tecnologica De Salamanca Uts Home Facebook
Universidad Tecnologica De Salamanca On Twitter La Uts
Universidad Tecnologica De Salamanca Ciudad De Salamanca
Inicio Segunda Sesion Del Comite Directivo De La Red De
La Gran Estafa Alcanza A Universidad Tecnologica De Salamanca
Monterrey Institute Of Technology And Higher Education Wikipedia
Atencion A La Cobertura Y Fortalecimiento De La Calidad Educativa
Fachada Principal Con Caseta De Acceso Peatonal Y Vehicular De La
Recent News Grial Research Group
Catalogo De Programas De Educacion Continua Uts By Universidad
Hotel Raldos Inn Prices Reviews Salamanca Mexico Tripadvisor
Photos At Universidad Tecnologica De Salamanca
Museo Tecmit Mitico Tecnologico Y De Arte Contemporaneo De
Estudiar Grado De Informatica En Salamanca Upsa
Estafa Maestra Van 21 Universidades Senaladas Piden No Condenarlas
Visitan Autoridades Universidad Tecnologica De Salamanca Nota
Universidad De Salamanca Png Cliparts Descarga Gratuita Pngocean
Universidad Tecnologica De Salamanca
La Universidad Tecnologica De Salamanca Avanza Hacia Un Futuro
Omnia Las Tabletas Digitales En Educacion Formal
Universidad Tecnologica De Salamanca By Fatima Luna On Prezi
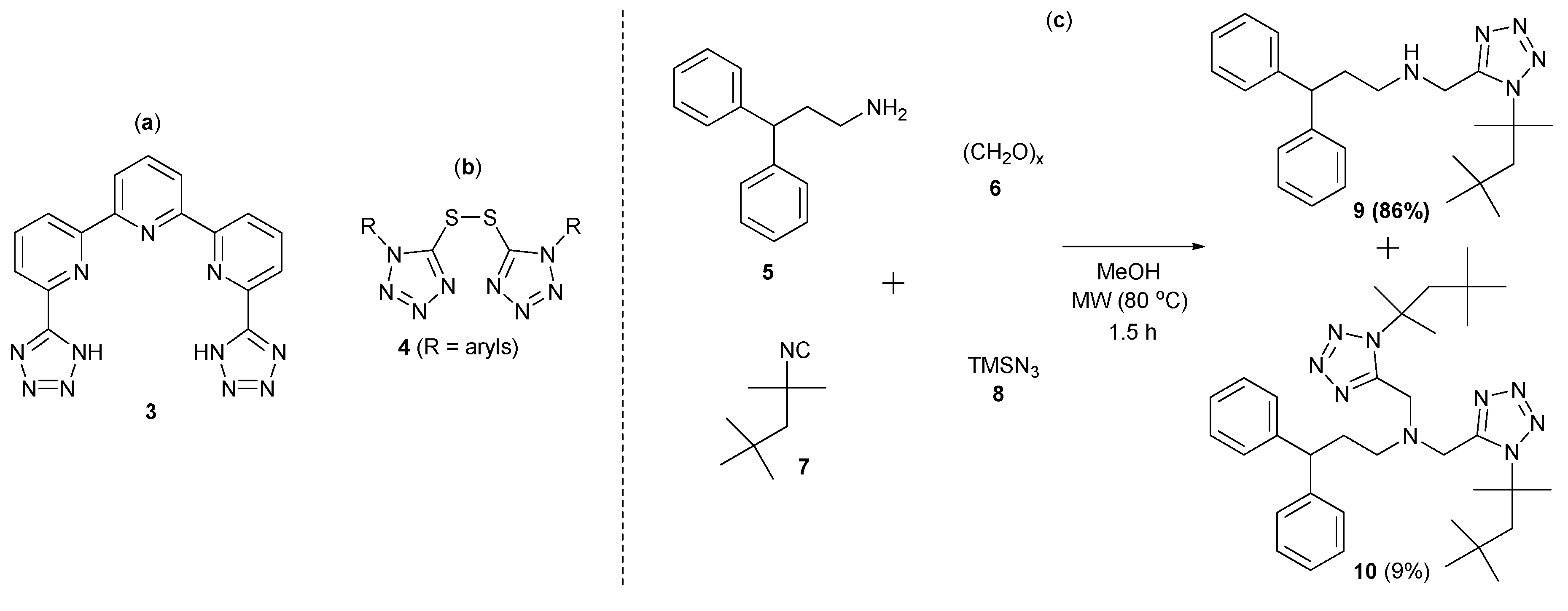
Pdf Synthesis Of Novel Bis 1 5 Disubstituted 1h Tetrazoles By An
Uts Bolsa De Trabajo Av Universidad Tecnologica 200 Col Ciudad
Https Cdn Ymaws Com Www Aatsp Org Resource Resmgr 2019 Conference Docs 2019 Aatsp Program 05 29 Pdf
Trabaja En Universidad Tecnologica De Salamanca Glassdoor Com Mx
Proyectores Hacen Parte De Plan Ecologico Universitario Sistemas
Utp Firma Convenio Historico Con Universidad De Salamanca
Inicia Tianguis De Ciencia En Salamanca El Sol De Salamanca
Programa Cilpe 2019 Pt Pages 1 5 Text Version Fliphtml5
Leonardo Diaz Yepes Coorganiza Un Seminario De Investigacion En La
Atencion A La Cobertura Y Fortalecimiento De La Calidad Educativa
La Universidad De Salamanca Firma Dos Convenios Marco De
Dia Mundial Del Agua En La Universidad Tecnologica De Salamanca
Www Utsalamanca Edu Mx Universidad Tecnologica De Salamanca
Universidad Tecnologica De La Costa Grande De Guerrero Educacion
Molecules Free Full Text Synthesis Of Novel Bis 1 5
Hello Salamanca Welcomes Its New Junior Executive Miss Allegra
Millonarios Sobrecostos Y Probable Corrupcion Halla Asf En
Holiday Inn Salamanca Hotel By Ihg
Universidad Tecnologica De Salamanca Ciudad De Salamanca
European Journalism Education Terzis
Convocatorias De Personal Centro De Investigacion Del Cancer
Http Www Uptc Edu Co Export Sites Default Eventos 2019 Sf Teachers Moot Inf General Doc Prog Teachersmoot Pdf
Universidad De Salamanca Linkedin
Hotel Raldos Inn Prices Reviews Salamanca Mexico Tripadvisor
Oir Y Ver 61 Experimentos De Acustica Y Optica Rafael Garcia
Hampton Inn Hotel In Salamanca Mexico
Mensaje Del Rector Universidad Tecnologica De Salamanca Youtube
Relationship Of Knowledge To Learn In Programming Methodology And Eva
Omnia De La Camara Oscura A La Cinematografia Tres Siglos De
Literature On Maxqda How It Supports And Simplifies Research
Calameo Juan Carlos Aguilar Salamanca
Lamp Free Digital Led Hd Office School Projectors Casio
Ariel Rodriguez Solis Hechando En Universidad Tecnologica De
Iii Fair Spaces Of Wit Creativity Technology And
In Vitro And In Vivo Behaviour Of Bioactive Glass Composites
Pdf Optimization Of A Vehicular Routing Using Simple Genetic Chu
Memoria En Pdf Facultad De Biologia Universidad De Salamanca
Universidad Tecnologica De Salamanca Uts Home Facebook


0 Response to "Logo Universidad Tecnologica De Salamanca"
Publicar un comentario