Sala Zero Tarragona Programació
Sala Zero Entradas Y Conciertos 2020 2021 Wegow Espana
La Sala Zero De Tarragona Nominada Al Premio De Programacion De
Blog Barri Del Port De Tarragona La Sala Zero Del Barri Del Port
Sala Zero Conciertos En Tarragona Guia Del Ocio
Programacio Radar Palmfest Tram Tardor Sala Zero Tarragona
Davallada A Les Sales De Concerts De Catalunya Ser Tarragona
Sala Zero En Tarragona Discoteca Guia Del Ocio
Teatre Metropol 2 Tips From 163 Visitors
Photos At Sala Zero Tarragona Cataluna
La Sala Zero Nominada A La Millor Programacio Dels Premis Arc 2014
Photos At Sala Zero Tarragona Cataluna
Photos At Sala Zero Tarragona Cataluna
Photos At Sala Zero Tarragona Cataluna
Sala Zero De Tarragona De Tarragona Conciertos Y Entradas
Photos At Sala Zero Tarragona Cataluna
Photos At Sala Zero Tarragona Cataluna
Groove Tarragona Home Facebook
Photos At Sala Zero Tarragona Cataluna
Photos At Sala Zero Tarragona Cataluna
La Sala Zero De Tarragona Nominada Als Premis Arc A La Millor
Bluegrass Bar La Traviesa Home Facebook
Us Vam Anunciar La Programacio De Groove Tarragona Facebook
Torna La Programacio De Risc Dins D El Teler De Llum Ajuntament
Groove Tarragona Home Facebook
Photos At Sala Zero Tarragona Cataluna
Concerts D Anima T Associacio Cultural Anima T
Photos At Sala Zero Tarragona Cataluna
Programacio Setembre 3 Whole Lotta Band Tojo Party S3ctor 3
Programacio Octubre By Anima T Associacio Cultural Issuu
Photos At Sala Zero Tarragona Cataluna
Noticia Programacion Completa Del Radar Palmfest 2018 Paperblog
Blog Barri Del Port De Tarragona Inauguracio De Scena Bar I
Concerts D Anima T Associacio Cultural Anima T
Bluegrass Bar La Traviesa Home Facebook
Girando Por Salas Gps Presenta Su Programacion Para El Mes De
Fiestas San Pedro Y San Pablo 2019 Programacion Completa La
Bluegrass Bar La Traviesa Home Facebook
Sala Cero Teatro Teatro Y Danza En Sevilla Guia Del Ocio
Groove Tarragona Home Facebook
El Radar Palmfest Anuncia Las Primeras Actuaciones Lacarne Magazine
The Uab Festa Major 2019 Is Here Universitat Autonoma De
La Sala Zero Nominada A La Millor Programacio Dels Premis Arc 2014
Trolly Pintaflores En Sala Cero Teatro De Sevilla La Guia Go
Sala Zero Tottarragona Cat Diari Digital Independent D
Teatre Metropol 2 Tips From 163 Visitors
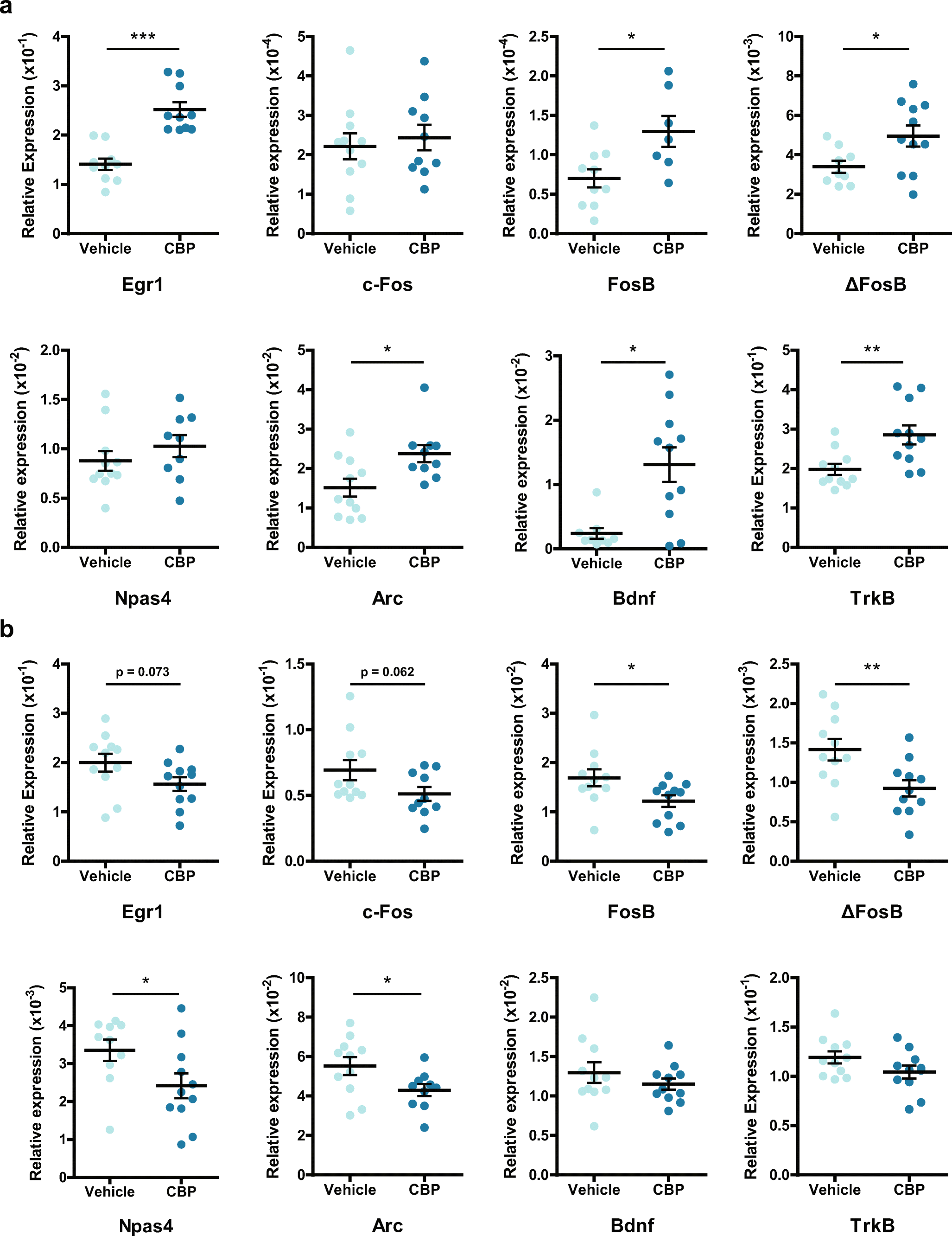
Effects Of Cocaine Base Paste On Anxiety Like Behavior And
Effects Of Cocaine Base Paste On Anxiety Like Behavior And
How Do You Upcycle A Government Building Into A Hip Theatre Leave
Effects Of Cocaine Base Paste On Anxiety Like Behavior And
A New Documentary Series Explores Flores Prats Renovation Of A
Fundacion Mapfre 2020 Exhibition Program Noticias Fundacion Mapfre
La Sala Zero Nominada A La Millor Programacio Dels Premis Arc 2014
Teatre Ajuntament De Tarragona
La Massa Theater A Little Treasure By Rafael Guastavino
Ghost Storeys Sala Beckett Theatre In Barcelona Spain By Flores
La Sala Trono Estrena Nova Programacio A La Caixa Escenica Del
Programacio Marc 2 Popa Chubby Za El Nino De La Hipoteca
Effects Of Cocaine Base Paste On Anxiety Like Behavior And
Flores Prats Adria Goula Sala Beckett Divisare
La Sala Trono Estrena Nova Programacio A La Caixa Escenica Del
Flores Prats Adria Goula Sala Beckett Divisare
The Metropol Theatre Tarragona Turisme
La Cantonada Breakfast Brunch Restaurant Tarragona Spain
Effects Of Cocaine Base Paste On Anxiety Like Behavior And
Sala Zero Conciertos En Tarragona Guia Del Ocio
An Evening With Don Delillo Multimedia Cccb
Etsab Mbarch Brochure 2017 18 By Etsab Issuu
Art Nou Primera Visio Home Facebook
Sala Zero Entradas Y Conciertos 2020 2021 Wegow Espana
Photos At Sala Zero Tarragona Cataluna
Flores Prats Adria Goula Sala Beckett Divisare
Communication Channels Student S Guide Upf
Freixenet Will Keep Its Hq In Catalonia After The Application Of
La Cantonada Breakfast Brunch Restaurant Tarragona Spain
Laut S Stream On Soundcloud Hear The World S Sounds







0 Response to "Sala Zero Tarragona Programació"
Publicar un comentario